咨询热线:
17715390137
18101240246
18914047343
邮件:mxenes@163.com
扫码关注或微信搜索公众号:
二维材料Fronrier
关注后点击右下角联系我们,
进入企业微信。
专业服务在线
肿瘤异质性为癌症治疗带来了持续的障碍,它描述了一个实体肿瘤中含有多种细胞,这些细胞具有不同的表型特征,对治疗具有不同的敏感性。肿瘤干细胞样细胞(Cancer stem-like cells,CSCs)又称为肿瘤起始细胞,具有自我更新、高致瘤性、侵袭性以及对传统化疗和放疗的耐受性等特点,是肿瘤异质性的决定性因素之一。肿瘤干细胞的存在是多种恶性肿瘤进展、复发和转移的罪魁祸首。CSCs作为典型的未分化癌细胞表型,在恶性程度高、预后差的低分化肿瘤中也明显高于高分化肿瘤。研究人员在开发有前景的抗CSC策略方面已经做出了相当大的努力,包括阻断表面生物标志物和抑制自我更新信号通路。
目前在临床上有一种叫做分化疗法,通过使用比常规化疗药物毒性更小的分化诱导剂,诱导恶性细胞分化为更成熟的表型,具有更少的干细胞样未分化状态。其标志性成果是应用全反式维甲酸(ATRA)和砷,诱导急性早幼粒细胞白血病患者完全缓解。越来越多的证据证实,分化治疗能降低各种实体瘤中CSC的比例。
然而,实体瘤的分化治疗存在肿瘤大小不缩小和大量肿瘤细胞残留的问题。那么,联合分化疗法和化学疗法有望实现同时清除肿瘤细胞和肿瘤干细胞,但是,考虑到它们的独特抗癌机制,分化诱导剂和化学治疗剂共同递送的改进策略仍然难以实现最佳的组合功效。
成果简介
于此,中国药科大学莫然教授等人报告了一种纳米治疗策略,该策略使用与分化诱导剂全反式维甲酸和化学治疗药物喜树碱共同负载的纳米颗粒杀死肿瘤中的CSC,从而能降低与干性相关的耐药性,从而增强化疗反应,抑制了肿瘤的生长,并防止了手术后肿瘤的复发和转移。成果以题为“A nanotherapeutic strategy to overcome chemotherapeutic resistance of cancer stem-like cells”发表在Nature Nanotechnology上。

聚合物-药物共轭物实现顺序性药物释放
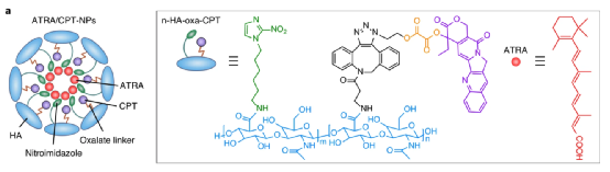
研究人员选择ATRA和CPT分别作为模型诱导分化和细胞毒性药物。通过顺序性药物释放,从而把协同效应最大化。即,首先需要从纳米载体中释放ATRA,以诱导CSC分化为非CSC,其干性和化学抗性降低,这增加了CSCs对随后释放的CPT的敏感性,并阻止了CPT作用下对干细胞的上调。于此,研究人员合成了一种聚合物-药物共轭物,即硝基咪唑改性的透明质酸-草酸酯-CPT共轭物(n-HA-oxa-CPT),可以组装成纳米颗粒并物理封装ATRA以获取ATRA / CPT-NP。

图|ATRA / CPT-NP的组成和结构式

图| ATRA / CPT-NP的制备和表征
纳米药物在细胞内作用大概为以下三大要点:
1)乏氧致ATRA释放
在CSC分化过程中,ATRA/CPT-NP可以自适应地区分两种药物的释放。首先,ATRA/CPT-NPs被CSCs摄取后,通过缺氧引起的由疏水性硝基咪唑基向亲水性氨基咪唑基的结构变化,迅速释放ATRA。释放的ATRA作用于视黄酸受体,因此诱导CSC分化。
2)低ROS,CPT不释放
CSC中由于自由基清除剂的表达增加,具有低ROS水平,而通过ROS不稳定草酸键结合的CPT在未分化的CSC中高度稳定并且最小程度地从ATRA/CPT NP泄漏,这避免了CSC的CPT的流出和CPT诱导的CSC干细胞增加。
3)分化程度高,ROS增加,CPT释放
当CSCs分化时,由于线粒体生物发生的增加,细胞内ROS水平随着线粒体超氧化物的产生而升高,这与分化程度正相关。上升的ROS水平导致草酸盐连接体降解,从而导致CPT释放为原始药物分子,并增强了对分化后代细胞的细胞毒性,降低了干性和抵抗力。相反,在被较高的ROS水平的低氧性大量肿瘤细胞内吞后,CPT迅速释放以引起细胞死亡,同时ATRA的释放也促进了CPT的死亡。

图|如何释放药物
该药物组合在消除大量肿瘤细胞方面表现出更有效的作用。此外,释放的CPT可通过抑制缺氧诱导因子-1α(HIF-1α)来增强化疗反应,从而缓解肿瘤缺氧。研究人员表明,ATRA / CPT-NPs在小鼠模型中有效抑制了富含CSC的异质乳腺肿瘤的生长、复发和转移。

图|ATRA / CPT-NPs的体内联合抑制原发性肿瘤生长的作用
小结:
通过纳米颗粒介导的诱导分化药物和化疗药物的联合给药,开发了一种纳米治疗策略,以克服肿瘤内异质性相关的治疗障碍。所获得的ATRA/CPT纳米粒统一了两种药物的药代动力学,在循环过程中维持了固定的协同药物比例。此外,ATRA/CPT-NPs可以通过对特定细胞生物信号的反应,自适应地调节ATRA和CPT在不同细胞表型(包括CSCs和非CSCs)中的释放特性。这种差异释放满足了促进两种药物最大化协同抗癌功效的需求,这两种药物具有不同的作用机制,可同时消除治疗耐药的肿瘤干细胞和大块肿瘤细胞,以抑制富含肿瘤干细胞的乳腺肿瘤模型中的肿瘤生长、复发和转移。这些发现为探索克服CSC相关的化疗耐药性的纳米治疗方法提供了一个有希望的前景。
参考文献:
Shen, S., Xu, X., Lin, S. et al. A nanotherapeutic strategy to overcome chemotherapeutic resistance of cancer stem-like cells. Nat. Nanotechnol. 16, 104–113 (2021). https://doi.org/10.1038/s41565-020-00793-0
信息来源:奇物论
本信息源自互联网仅供学术交流 如有侵权请联系我们立即删除
![]() |
![]() |
![]() |
![]() |
| 二维材料Frontier | 生物纳米材料前沿 | MXenes Frontier | 纳米医学Frontier |
|
版权所有 © 2019 北京北科新材科技有限公司
All rights reserved. 京ICP备16054715号-2 |
扫一扫