购物车 0 注 册   |   登 录

mxene 学术专题

 
联系我们

咨询热线:

17715390137

18101240246

18914047343

邮件:mxenes@163.com

扫码关注或微信搜索公众号:

二维材料Fronrier
关注后点击右下角联系我们,

进入企业微信。

专业服务在线

mxene 学术专题
您的位置: 首页 > mxene 学术专题 > mxene 储能

新型MXene负载GeOx薄膜快速充放电、宽温域锂离子电池负极材料

文章来源:北科纳米专业的纳米材料合成专家 浏览次数:4542时间:2020-08-10 设计合成:18101240246

近年来,随着电动车和移动电子设备快速发展,锂离子电池的性能成为影响其应用的重要因素。如何提高锂离子电池的能量密度以及快速充放电性能逐渐成为锂离子电池领域的研究重点。传统的石墨电极由于能量密度以及充放电速率等方面的限制,无法满足高性能锂离子电池的发展要求。相对于传统的石墨电极,具有更高比容量的硅、锗和锡等新兴负极材料有望成为下一代锂离子电池重要的负极材料。
硅负极具有极高的比容量,成为下一代锂离子电池负极材料的首要选项。但其较低的导电性和较大的体积变化成为阻碍其应用的重要因素。相较于硅,金属锗的具有较高的比容量(1600 mAh/g, Li4.4Ge)、良好的导电性以及优异的快速充放电性能。但是其在充放电的过程中高达300%的体积变化会导致较差的循环性能,影响其作为负极材料的实际应用。威斯康星大学密尔沃基分校(UW-Milwaukee)Junjie Niu课题组主要从事于新型锂离子电池的研究与开发。为了提高负极材料在快速充放电过程中的稳定性,提高锂离子传输速率,改善导电性,该课题组的研究人员选择新型二维材料MXene作为负载材料,金属氧化物GeOx作为活性材料,采用湿化学法成功制备了新型负极材料。负载材料MXene的特殊层状结构,可以在充放电的过程中为活性物质的体积变化提供足够的空间容量,以保持结构的稳定性。MXene优异的导电性有利于电极材料充放电速率的提高。同时,MXene表面官能团的存在,有利于制备过程中无定形态GeOx的均匀附着成膜(图1)。

图1. 材料的制备过程及TEM表征。
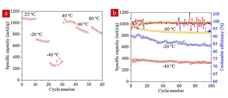
最终生成的具有特殊三维结构的新型负极材料在0.5C速率500圈后比容量能保持在1048.1 mAh/g。在1.0速率下1000圈后比容量保持在929.6 mAh/g,容量损耗小于0.02%/圈。同时,可实现高达20C速率下的充放电(图2)。在-40 到60℃的温度区间内表现出了较高的比容量以及稳定的循环性能(图3)。该新型负极材料有望应用于电动车、移动电子设备以及在极端温度环境下使用的电子设备。

图2. 作为锂离子电池负极材料在0.5C到20C的循环性能。

图3. 在-40℃到80℃的循环性能。

此成果近期发表在ACS Nano上,文章第一作者是UW-Milwaukee博士研究生Mingwei Shang,通讯作者为Junjie Niu

文献链接:DOI:10.1021 / acsnano.0c00556

此信息仅来自Internet,仅供学术交流。 如有侵权,请与我们联系以立即删除



       北科纳米-学术前沿公众号
二维材料Frontier 生物纳米材料前沿 MXenes Frontier 纳米医学Frontier

 

温馨提示:北京北科新材科技有限供应产品仅用于科研,不能用于人体。部分网站示意图源自互联网,图片仅供参考,请以实际测试结果为准,如有侵权请联系我们立即删除。产品参数仅供参考,请以实际值为准!
版权所有 © 2019 北京北科新材科技有限公司
All rights reserved. 京ICP备16054715号-2
纳米合成
18101240246
电话咨询
17715390137
扫一扫

扫一扫