产品: 三维石墨烯粉涂敷集流体
提示说明:纳米材料工艺和制备可能会有改变 所有纳米材料均支持按需定制 下单前联系客服确认产品详细信息。
详细介绍
三维石墨烯粉涂敷集流体(G07)
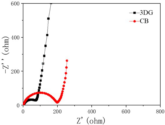
三维石墨烯(3DG)粉涂碳集流体是将3DG粉制浆涂敷制成,经涂敷3DG粉后集流体的性能大幅提高,3DG粉涂炭集流体具有导电性好、涂层薄、粘结剂用量少、导热性好、自身强度及结合强度高、表面积大等优点,可有效促进电池性能的提高。





| 温馨提示:北京北科新材科技有限供应产品仅用于科研,不能用于人体。部分网站示意图源自互联网,图片仅供参考,请以实际测试结果为准,如有侵权请联系我们立即删除。产品参数仅供参考,请以实际值为准! |
| 留言咨询 |
- 上一款: 三维石墨烯粉水性环氧防腐涂料
- 下一款: 氮化硼纳米片微球

二维材料纤维/薄膜