registered   |   log in
  中文

北科产品中心 products center

MXenes-Max 2D transition metal carbonitride
MBene two-MAB-dimensional transition metal borides
MOFs metal organic framework compound
COFs covalent organic compound
Bioluminescent dyes
Aerogels
CVD TMDC 2D thin film / heterojunction
Perovskite material
Copper-doped modified lead apatite (LK 99 crystal powder)
2D material fiber/film
Two-dimensional material micro-nano processing - in situ testing
Basic magnetic beads, immunomagnetic beads, protein purification magnetic beads, nucleic acid extraction magnetic beads
Nucleic acid extraction kit
High-entropy materials
Biological nanomaterials
Nanocellulose
AIE luminescent material
Silane Bismuthene Borene Tellurene Phosphorene Graphyne
Binary CVD TMDC crystal/powder/dispersion
Ternary CVD TMDC crystal/powder/dispersion
Graphene and carbon nanomaterials
High-performance battery materials
Carbon nanotube/fullerene series
Nano/micron powder material and AAO template
Nanowires
Molecular sieve
Ionic liquid
QDS
Nanomaterial customization / material simulation calculation
Metal nanomaterials
Hydrogel Series and Consumables
Solid-state lithium battery
Product Solutions
Industrial-grade nanomaterials
Special materials for sodium storage
Thermoelectric materials
Organic materials
Atomic catalyst
Mesoporous materials
Heavy launch-new products are online!
Two-dimensional layered double hydroxide
catalyst
Nanosphere
Material testing and consumables
Inorganic Nanomaterials
equipment
MXenes 2D transition metal carbonitride
MBene two-dimensional transition metal borides
beike new material
position: home > Product > 2D material fiber/film

Three-dimensional graphene powder-coated current collectors





ID:BK2022022316
CAS:
price: $700
Item ID:BK2022022316
specification:
Detailed

3D Graphene Powder Coated Current Collector (G07)


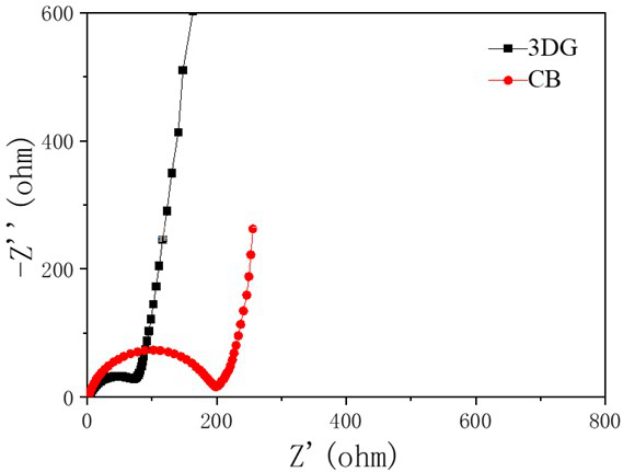
Three-dimensional graphene (3DG) powder-coated carbon current collector is made by slurry coating of 3DG powder. After coating 3DG powder, the performance of the current collector is greatly improved. The 3DG powder-coated carbon current collector has good conductivity, thin coating, stickiness The advantages of less binder dosage, good thermal conductivity, high self-strength and bonding strength, and large surface area can effectively promote the improvement of battery performance.


Warm tip: the products supplied by Beijing Beike Xincai Technology Co., Ltd. are only used for scientific research, not for human body

Item ID CAS ID Pack Parameter Stock Make up Price
BK2022022316 BK2022022316 300mm*200mm 200um厚 100 $700
Message
Full name: *
Whatsapp/Wechat: *
E-mail: *
Contents:
 
Twitter:2D materials Frontier
QQ Exchange Group:1092348845

 

Reminder: Beijing Beike New Material Technology Co., Ltd. supplies products only for scientific research, not for humans
All rights reserved © 2019 beijing beike new material Technology Co., Ltd 京ICP备16054715-2号
advisory
phone
Email:mxenes@163.com
Tel:+86-17715390137
scan

scan
WeChat